
TOKYO, Mar 5, 2026 - (JCN Newswire) - TANAKA PRECIOUS METAL TECHNOLOGIES Co., Ltd. (Head Office: Chuo-ku, Tokyo; Representative Director & CEO: Koichiro Tanaka), a company engaged in the industrial precious metals business of TANAKA, today announced the successful development of “HPM-L111”, the world’s first metal*1 palladium (Pd) hydrogen permeable membrane capable of delivering high hydrogen permeation performance at low temperature range around 100°C. The breakthrough enables high-purity and fast hydrogen purification at significantly lower temperatures than previously possible, reducing energy consumption and supporting next-generation hydrogen ecosystem development across global markets.
Sample shipments of HPM-L111 is scheduled to begin on or after March 5, 2026, with production capacity of approximately 100 samples per month.
An academic presentation regarding this product will be made at The Japan Institute of Metals and Materials’ “2026 Spring Meeting,” which will be held at Chiba Institute of Technology from March 11 to 13, 2026. The product and a panel display will also be showcased at “H2 & FC EXPO Int’l Hydrogen & Fuel Cell Expo” being held at Tokyo Big Sight from March 17 to 19, 2026.

A palladium hydrogen permeable membrane is a thin membrane product made from palladium alloy, which has the properties of hydrogen absorption and permeation. It is widely used for the separation and purification of high-purity hydrogen. Traditionally, metal membranes require high temperatures (at least 300°C) to achieve effective hydrogen permeation. By applying special treatment to the membrane’s surface, TANAKA succeeded in developing a metal membrane that can demonstrate high hydrogen permeation performance even at a low temperature range at or below 100°C.
Issues in hydrogen purification using metal membranes and background to the development of HPM-L111
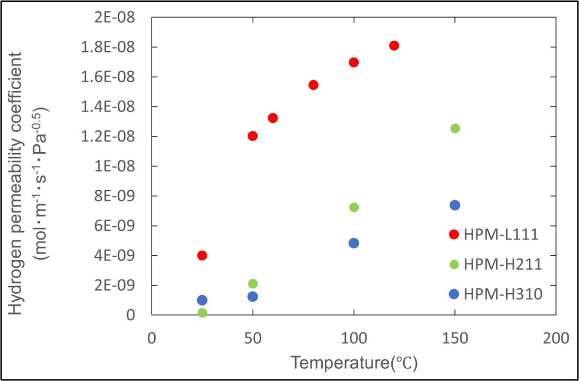
Among PdCu alloy membranes, the existing product PdCu40 (an alloy with 60% palladium content and 40% copper content) has the highest level of hydrogen permeation performance. However, operation at a high temperature range of around 400°C is required to achieve its true performance, and higher costs from the addition of heating facilities and such were an issue for many years. Furthermore, with the advancement of hydrogen-related technologies in recent years, there are increasing need for hydrogen permeation using metal membranes in the low temperature range of 100°C or lower. Meanwhile, the speed of hydrogen penetration from the surface into metal membranes generally decreases when the temperature is 200°C or lower, significantly reducing the hydrogen permeation performance of conventional metal membranes and making practical application an issue.
To solve these issues, for HPM-L111, TANAKA adopted its proprietary surface treatment technology nurtured through many years of precious metal materials research. Minute jagged structures were formed on the membrane’s surface to increase the specific surface area, resulting in a higher hydrogen penetration speed and achieving significant improvement in hydrogen permeation performance in the low temperature range of 100°C or lower.
Features of HPM-L111
- High hydrogen permeation performance in the low temperature range around 100°C
- World’s first metal membrane allowing high-purity hydrogen purification in the low temperature range around 100°C
- Expected contributions to higher accuracy of hydrogen sensors
- Allows high-speed removal of hydrogen generated within devices
![]() | ![]() |
Product name | Thickness | Width | Length | Recommended temperature | Expected applications |
HPM-H310 | >10μm | <120mm | <100mm | 400°C | ・Hydrogen purification |
HPM-H211 | >10μm | <120mm | <100mm | 300°C | ・Hydrogen purification |
HPM-L111 | >10μm | <35mm | <85mm | 100°C | ・Hydrogen sensors |
Comparison of HPM-L111 against existing products and recommended applications |

Expected applications of high-purity hydrogen permeation in the low temperature range, or 100°C or lower, include hydrogen sensors, fuel cells, and removal of hydrogen in vacuum equipment. In hydrogen sensors, it can help to improve detection accuracy by isolating interfering gases, while in vacuum equipment and such, it allows hydrogen to be removed from inside the equipment while maintaining an operating environment close to room temperature or a low temperature range. Furthermore, it can contribute toward the realization of carbon neutrality by reducing the energy for heating, as the heating process to at least 300°C—which was previously required—is no longer necessary. TANAKA will support the realization of a clean and efficient hydrogen society through the provision of this product.
*1 As of March 5, 2026, based on internal research (according to a survey of patents and papers on hydrogen permeable membranes)
About TANAKA
Since its foundation in 1885, TANAKA has built a portfolio of products to support a diversified range of business uses focused on precious metals. TANAKA is a leader in Japan regarding the volume of precious metals it handles. Over many years, TANAKA has manufactured and sold precious metal products for industry and provided precious metals in such forms as jewelry and assets. As precious metals specialists, all Group companies in Japan and worldwide collaborate on manufacturing, sales, and technology development to offer a full range of products and services. With 5,591 employees, the group’s consolidated net sales for the fiscal year ended December 2024 were 846.9 billion yen.
TANAKA Industrial Precious Metal Materials Portal
https://tanaka-preciousmetals.com
Product inquiries
TANAKA PRECIOUS METAL TECHNOLOGIES Co., Ltd.
https://tanaka-preciousmetals.com/en/inquiries-on-industrial-products/
Press inquiries
TANAKA PRECIOUS METAL GROUP Co., Ltd.
https://tanaka-preciousmetals.com/en/inquiries-for-media/
Press Release: https://www.acnnewswire.com/docs/files/2026305_EN.pdf
]]>Source: TANAKA PRECIOUS METAL GROUP Co., Ltd.
Copyright 2026 JCN Newswire . All rights reserved.

